LC滤波器的应用及基本原理丨成都九游会电子行业资讯展示
九游会
九游会
 
 
九游会·新闻资讯-行业资讯

LC滤波器的应用及基本原理

发布:九游会电子    发布日期: 2017-06-03


β=1,即n=nC=XC/(XL-Xs)时,ICn=Isn=In/2。在n0”<n<nc的范围内,电容器支路呈感性,起分流作用。当n>nc时,电容器支路仍呈感性,但随着n增大,其分流作用逐渐减弱,n较大时,基本不起分流作用。     LC滤波器是传统的谐波补偿装置。就目前情况而言,抑制谐波的方法可分为两大类:


   

1.补偿的方法

设置LC滤波器[3、4、5、6、107]即属此类。有源电力滤波器也属于此类方法。
   

2.改造谐波源的方法

一是设法提高电力系统中主要的谐波源即整流装置的相数;
二是采用高功率因数整流器。
    在各种方法中,LC滤波器出现最早,且存在一些较难克服的缺点,但因其具有结构简单、设备投资较少、运行可靠性较高、运行费用较低等优点,因此至今仍是应用最多的方法。
    LC滤波器也称为无源滤波器,是由滤波电容器、电抗器和电阻器适当组合而成的滤波装置,与谐波源并联,除起滤波作用外,还兼顾无功补偿的需要。LC滤波器又分为单调谐滤波器、高通滤波器及双调谐滤波器等几种,实际应用中常用几组单调谐滤波器和一组高通滤波器组成滤波装置。
   

3、单调谐滤波器

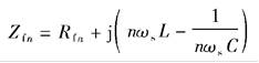
图所示为单调谐滤波器的电路原理图。滤波器对n次谐波(ωn=nωs)的阻抗为



式中,下表fn表示第n次单调谐滤波器。



分享到:
版权所有:成都九游会电子有限公司    备案号:蜀ICP备91921516号-1 分享到: